Medan Magnet di Sekitar Arus Listrik, Induksi, Penghantar Lurus dan Melingkar, Sumbu Solenoida Toroida, Contoh Soal, Jawaban, Fisika - Berikut ini adalah materi lengkapnya :
1. Pengertian atau Definisi Medan Magnet
Medan magnetik adalah ruangan di sekitar magnet yang masih terpengaruh gaya magnetik. Seperti pada gaya listrik, kita menganggap gaya magnetik tersebut dipindahkan oleh sesuatu, yaitu medan magnetik. Muatan yang bergerak menghasilkan medan magnetik dan medan ini selanjutnya, memberikan suatu gaya pada muatan bergerak lainnya. Karena muatan bergerak menghasilkan arus listrik, interaksi magnetik dapat juga dianggap sebagai interaksi di antara dua arus. Kuat dan arah medan magnetik dapat juga dinyatakan oleh garis gaya magnetik. Jumlah garis gaya per satuan penampang melintang adalah ukuran kuat medan magnetik.
2. Medan Magnet di Sekitar Arus Listrik
Pada tahun 1820, seorang ilmuwan berkebangsaan Denmark, Hans Christian Oersted (1777 - 1851) menemukan bahwa terjadi penyimpangan pada jarum kompas ketika didekatkan pada kawat berarus listrik. Hal ini menunjukkan, arus di dalam sebuah kawat dapat menghasilkan efek-efek magnetik. Dapat disimpulkan, bahwa di sekitar arus listrik terdapat medan magnetik.
Garis-garis medan magnetik yang dihasilkan oleh arus pada kawat lurus membentuk lingkaran dengan kawat pada pusatnya. Untuk mengetahui arah garis-garis medan magnetik dapat menggunakan suatu metode yaitu dengan kaidah tangan kanan, seperti yang terlihat pada Gambar 2.
![]() |
| Gambar 1. Penyimpangan jarum kompas di dekat kawat berarus listrik. |
![]() |
| Gambar 2. Kaidah tangan kanan untuk mengetahui arah medan magnet. |
Ibu jari menunjukkan arah arus konvensional, sedangkan keempat jari lain yang melingkari kawat menunjukkan arah medan magnetik.
Pemagnetan suatu bahan oleh medan magnet luar disebut induksi. Induksi magnetik sering didefinisikan sebagai timbulnya medan magnetik akibat arus listrik yang mengalir dalam suatu penghantar. Oersted menemukan bahwa arus listrik menghasilkan medan magnetik. Selanjutnya, secara teoritis Laplace (1749 - 1827) menyatakan bahwa kuat medan magnetik atau induksi magnetik di sekitar arus listrik:
a. berbanding lurus dengan kuat arus listrik,
b. berbanding lurus dengan panjang kawat penghantar,
c. berbanding terbalik dengan kuadrat jarak suatu titik dari kawat penghantar tersebut,
d. arah induksi magnet tersebut tegak lurus dengan bidang yang dilalui arus listrik.
Pada tahun 1820 oleh Biot (1774 - 1862) teori tersebut disempurnakan dengan perhitungan yang didasarkan pada rumus Ampere (1775 - 1836) yang dinyatakan dalam persamaan:
dengan I menyatakan kuat arus listrik yang mengalir dalam kawat (A), dl menyatakan elemen kawat penghantar, r adalah jarak titik terhadap kawat (m), dB menyatakan kuat medan magnetik (Wb/m2), dan k adalah suatu konstanta yang memenuhi hubungan:
dengan µ0 menyatakan permeabilitas hampa udara yang besarnya -7 4π × 10-7 Wb/A.m.
Induksi magnetik yang diakibatkan oleh kawat berarus listrik diperoleh dengan menurunkan persamaan (1), yaitu:
Dengan memasukkan persamaan (2) maka akan diperoleh:
Dalam bentuk vektor, persamaan (5) dapat dituliskan menjadi:
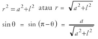
Dari Gambar 3 diketahui bahwa:
Persamaan di atas kemudian diintegralkan untuk mengetahui induksi magnetik di titik P, sehingga didapatkan:
Jika panjang kawat 2l << a, kita anggap panjang kawat adalah tak berhingga. Sehingga persamaan (8) menjadi:
Jadi, besar induksi magnetik di sekitar kawat penghantar lurus berarus yang berjarak a dari kawat berarus listrik I dinyatakan dalam persamaan:
dengan:
B = kuat medan magnetik (Wb/m2 = tesla)
a = jarak titik dari penghantar (m)
I = kuat arus listrik (A)
µ0 = permeabilitas vakum
Contoh Soal 1 :
Tentukan besar induksi magnetik pada jarak 15 cm dari pusat sebuah penghantar lurus yang berarus listrik 45 A!
Penyelesaian:
Diketahui:
jarak ke penghantar, a = 15 cm = 15 × 10-2 m
kuat arus listrik, I = 45 A
permeabilitas vakum, 0 μ = -7 4π × 10-7 Wb/A.m
Ditanya: Besar induksi magnetik oleh penghantar lurus (B)... ?
4. Induksi Magnetik yang Ditimbulkan Penghantar Melingkar Berarus
Sebuah kawat yang berbentuk lingkaran dengan jari-jari a dan dialiri arus listrik I, ditunjukkan pada Gambar 4.
Untuk menentukan induksi magnetik di titik P yang berjarak x dari pusat lingkaran, dapat dilakukan dengan menggunakan Hukum Biot-Savart. Dari gambar terlihat bahwa r tegak lurus terhadap dl atau θ = 90o, sehingga sin θ = 1. Dari persamaan Biot-Savart, maka:
![]() |
| Gambar 4. Penghantar berbentuk lingkaran dengan jari-jari a yang dialiri arus I. |
Karena sifat simetri, maka komponen yang tegak lurus sumbu x akan saling meniadakan, sehingga hanya komponen sejajar sumbu x yang ada. Diperoleh:
Nilai a, I, dan x adalah suatu tetapan, karena mempunyai nilai yang sama pada tiap elemen arus. Jadi:
Karena penghantar berupa lingkaran, maka ∫dl menyatakan keliling lingkaran, dengan jari-jarinya adalah a, yang dinyatakan oleh:
∫dl = 2 π a
Induksi magnetik akan bernilai maksimum ketika x = 0 atau titik terletak di pusat lingkaran, maka akan berlaku:
Untuk penghantar melingkar yang terdiri atas N lilitan, maka induksi magnetik yang terjadi di pusat lingkaran adalah:
dengan:
Bx = induksi magnetik (Wb/m2)
I = kuat arus listrik (A)
a = jari-jari lingkaran (m)
N = jumlah lilitan
Contoh Soal 2 :
Sebuah kumparan kawat melingkar berjari-jari 10 cm memiliki 40 lilitan. Jika arus listrik yang mengalir dalam kumparan tersebut 8 ampere, berapakah induksi magnetik yang terjadi di pusat kumparan?
Penyelesaian:
Diketahui:
kuat arus, I = 8 A
jari-jari, r = 10 cm = 0,1 m
jumlah lilitan, N = 40
Ditanya: Induksi magnetik, B ... ?
5. Induksi Magnetik pada Sumbu Solenoida
Solenoida didefinisikan sebagai sebuah kumparan dari kawat yang diameternya sangat kecil dibanding panjangnya. Apabila dialiri arus listrik, kumparan ini akan menjadi magnet listrik. Medan solenoida tersebut merupakan jumlah vektor dari medan-medan yang ditimbulkan oleh semua lilitan yang membentuk solenoida tersebut.
Pada Gambar 5. memperlihatkan medan magnetik yang terbentuk pada solenoida. Kedua ujung pada solenoida dapat dianggap sebagai kutub utara dan kutub selatan magnet, tergantung arah arusnya. Kita dapat menentukan kutub utara pada gambar tersebut adalah di ujung kanan, karena garis-garis medan magnet meninggalkan kutub utara magnet.
Jika arus I mengalir pada kawat solenoida, maka induksi magnetik dalam solenoida (kumparan panjang) berlaku:
B = µ0.I.n ............................................................ (18)
Persamaan (5.18) digunakan untuk menentukan induksi magnet di tengah solenoida. Sementara itu, untuk mengetahui induksi magnetik di ujung solenoida dengan persamaan:
B = (µ0 .I.n) / 2............................................................ (19)
Induksi magnetik (B) hanya bergantung pada jumlah lilitan per satuan panjang (n), dan arus (I ). Medan tidak tergantung pada posisi di dalam solenoida, sehingga B seragam. Hal ini hanya berlaku untuk solenoida tak hingga, tetapi merupakan pendekatan yang baik untuk titik-titik yang sebenarnya tidak dekat ke ujung.
"Kumparan adalah sejumlah gulungan kawat berarus yang dibuat dengan melilitkan kawat tersebut pada sepotong bahan yang terbentuk (former), contohnya adalah kumparan datar dan solenoida.
Contoh Soal 3 :
Suatu solenoida yang panjangnya 2 m memiliki 800 lilitan dan jari-jari 2 cm. Jika solenoida dialiri arus 0,5 A, tentukan induksi magnetik:
a. di pusat solenoida,
b. di ujung solenoida!
Penyelesaian:
panjang solenoida, l = 2 m
banyak lilitan, n = 800
6. Induksi Magnet pada Sumbu Toroida
Solenoida panjang yang dilengkungkan sehingga berbentuk lingkaran dinamakan toroida, seperti yang terlihat pada Gambar 6.
Induksi magnetik tetap berada di dalam toroida, dan besarnya dapat diketahui dengan menggunakan persamaan sebagai berikut:
![]() |
| Gambar 6. Toroida. |
Perbandingan antara jumlah lilitan N dan keliling lingkaran 2 π a merupakan jumlah lilitan per satuan panjang n, sehingga diperoleh:
B = µ0. I. n ............................................................ (21)
Contoh Soal 4 :
Sebuah toroida berjari-jari 20 cm dialiri arus sebesar 0,8 A. Jika toroida mempunyai 50 lilitan, tentukan induksi magnetik pada toroida!
Penyelesaian:
jari-jari, a = 20 cm = 2×10-1 m
arus listrik, I = 0,8 A
banyak lilitan, N = 50
Materi Fisika :
Dalam kuliahnya di Universitas Kopenhagen pada tahun 1820, Oersted menghubungkan baterai dengan sebuha kawat yang bergerak dekat jarum kompas. Jarum magnetik berputar dan Oersted segera tahu apa arti gerakan itu. Kawat yang bertindak sebagai arus bertindak sebagai magnet, membuktikan hubungan magnetisme dan listrik.
Anda sekarang sudah mengetahui Medan Magnet. Terima kasih anda sudah berkunjung.
Referensi :
Budiyanto, J. 2009. Fisika : Untuk SMA/MA Kelas XII. Pusat Perbukuan, Departemen Pendidikan Nasional, Jakarta. p. 298.
Referensi Lainnya :
[1] http://collectionsonline.nmsi.ac.uk/browser.php?m=objects&kv=145363&i=119257
Referensi Lainnya :
[1] http://collectionsonline.nmsi.ac.uk/browser.php?m=objects&kv=145363&i=119257
Sumber : http://perpustakaancyber.blogspot.com/2013/04/medan-magnet-di-sekitar-arus-listrik-induksi-penghantar-lurus-dan-melingkar-sumbu-solenoida-toroida-contoh-soal-jawaban-fisika.html#ixzz2gpf2YIRX































No comments:
Post a Comment